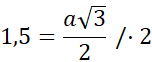
Wiedząc, że wysokość w trójkącie równobocznym to 1,5, oblicz jego pole.
h = 1,5
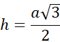
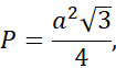
Wzór na pole trójkąta równobocznego to:
a – długość jego boku.
Zadanie 1.
Zadanie 2.
Zadanie 3.
Zadanie 4.
Zadanie 5.
Zadanie 6.
Zadanie 7.
Podpunkt a)
Podpunkt b)
Podpunkt c)
Podpunkt d)
Podpunkt e)
Zadanie 8.
Zadanie 9.
Zadanie 10.
Zadanie 11.
Zadanie 12.
Zadanie 13.
Zadanie 14.
Zadanie 15.
Zadanie 16.
Zadanie 17.
Zadanie 18.
Ćwiczenie Wyzwanie 1.
Ćwiczenie Sprawdź się! 1.
Ćwiczenie Sprawdź się! 2.
Ćwiczenie Sprawdź się! 3.
Ćwiczenie Sprawdź się! 4.
Ćwiczenie Sprawdź się! 5.
Zadanie Wyzwanie 1.
Zadanie Sprawdź się! 1.
Zadanie Sprawdź się! 2.
Zadanie Sprawdź się! 3.
Zadanie Sprawdź się! 4.
Zadanie Sprawdź się! 5.
Ćwiczenie 1.
Ćwiczenie 2.
Ćwiczenie 3.
Ćwiczenie 4.
Ćwiczenie 5.
Ćwiczenie 6.
Ćwiczenie 7.
Ćwiczenie 8.
Ćwiczenie 9.
Ćwiczenie 10.
Ćwiczenie 11.
Ćwiczenie 12.