| P | F | |
| Długość przekątnej kwadratu o polu równym 8 wynosi 4. | P | F |
| P | F |
I.
a = 6
fałsz
II.
P = a2 = 8
prawda
III.
a = 6
Obw. = 6 · 6 = 36 cm
36 cm ≠ 24 cm
fałsz
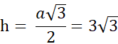
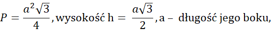
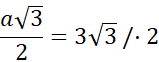
Pamiętaj, że wzór na pole trójkąta równobocznego, to:
wzór na pole kwadratu z uwzględnieniem jego przekątnej, to:
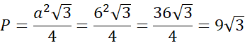
a wzór na pole sześciokąta foremnego: