Zadanie

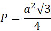
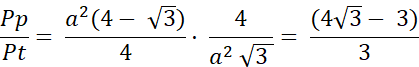
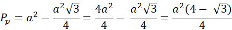
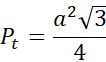
Podaj która figura ma większe pole, trójkąt czy pięciokąt, jeśli wiemy, że na boku kwadratu zbudowano trójkąt równoboczny tak, że trzeci jego wierzchołek E leży wewnątrz kwadratu.

Rozwiązanie

Wyjaśnienie

Zadania z tego działu
Własności figur płaskich
48