a = 3
Pk = a2 = 9
Obwk = 4a = 12
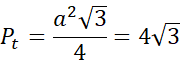
a = 4
Obwt = 3a =12
Odp.: Obwody są równe, natomiast pole trójkąta jest większe od pola kwadratu.
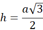
Zastosuj znane ci wzory na: długość przekątnej w kwadracie:
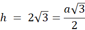
długość wysokości w trójkącie równobocznym: