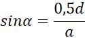
0,5 · 6 = 0,5d / : 0,5
d = 6 cm = 0,6 dm
Odp.: B. 0,6 dm.
Powstają dwa trójkąty równoboczne.
druga przekątna jest długości 2 · h:
Zauważ, że przekątne przecinają się pod kątem prostym. Zatem z funkcji trygonometrycznych łatwo obliczyć długości boków trójkątów, które powstały. Pamiętaj, że przekątna dzieli kąt na dwa równe kąty.