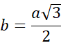
a – długość boku wyjściowego sześciokąta
b – długość boku sześciokąta utworzonego
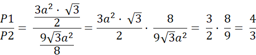
Odp.: Stosunek wynosi 4 : 3.
Zauważ, że bok powstałego sześciokąta jest równocześnie wysokością trójkąta równobocznego zbudowanego na boku sześciokąta wyjściowego.