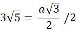
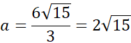
Mając podaną wysokość
oblicz obwód trójkąta równobocznego.
Obw. = 3 · a
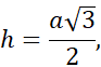
W trójkącie równobocznym wysokość wynosi:
a jego obwód: a + a + a = 3 · a
Zadanie 1.
Zadanie 2.
Zadanie 3.
Zadanie 4.
Zadanie 5.
Zadanie 6.
Zadanie 7.
Podpunkt a)
Podpunkt b)
Podpunkt c)
Podpunkt d)
Podpunkt e)
Zadanie 8.
Zadanie 9.
Zadanie 10.
Zadanie 11.
Zadanie 12.
Zadanie 13.
Zadanie 14.
Zadanie 15.
Zadanie 16.
Zadanie 17.
Zadanie 18.
Ćwiczenie Wyzwanie 1.
Ćwiczenie Sprawdź się! 1.
Ćwiczenie Sprawdź się! 2.
Ćwiczenie Sprawdź się! 3.
Ćwiczenie Sprawdź się! 4.
Ćwiczenie Sprawdź się! 5.
Zadanie Wyzwanie 1.
Zadanie Sprawdź się! 1.
Zadanie Sprawdź się! 2.
Zadanie Sprawdź się! 3.
Zadanie Sprawdź się! 4.
Zadanie Sprawdź się! 5.
Ćwiczenie 1.
Ćwiczenie 2.
Ćwiczenie 3.
Ćwiczenie 4.
Ćwiczenie 5.
Ćwiczenie 6.
Ćwiczenie 7.
Ćwiczenie 8.
Ćwiczenie 9.
Ćwiczenie 10.
Ćwiczenie 11.
Ćwiczenie 12.