a = 4 cm
α = 60°
2 · α + 2 · β = 360°
2 · β = 360° - 120° = 240°
β = 120°
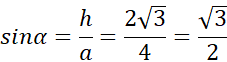
Zauważ, że przekątna poprowadzona na dłuższy bok, tworzy z krótszym bokiem trójkąt prostokątny. Stosując wzory funkcji trygonometrycznych, możesz obliczyć sinus podanego kąta. Suma miar kątów równoległoboku wynosi 360°.