Wskaż obwód najmniejszego trójkąta, który powstał przy podziale kwadratu o polu 4 cm2, gdy poprowadzimy przekątne i odcinki łączące środki przeciwległych boków.
Rozwiązanie
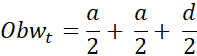
Pk = 4 cm2
a2 = 4 cm2
a = 2 cm
Wyjaśnienie
Zauważ, że długości boków powstałego trójkąta, to połowa długości boku kwadratu oraz połowa długości przekątnej kwadratu.