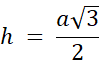
Skorzystaj ze wzoru na wysokość w trójkącie równobocznym. Z różnicy a – h, obliczysz bok trójkąta.
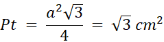
Wstawiając kolejno do znanych ci wzorów na pola kwadratu i trójkąta równobocznego obliczysz ich sumę.
Wzór na pole kwadratu:
P = a2
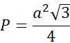
Wzór na pole trójkąta równobocznego: