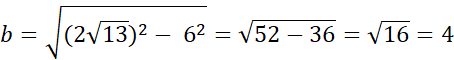
Ustal, czy punkt kresowy występuje na przeciwprostokątnej trójkąta, jeżeli jego wierzchołki są również na punktach kresowych, natomiast przyprostokątne mają długość:
Rozwiązanie
Będzie więc jeszcze jeden punkt kratowy.
Wyjaśnienie
Punkty kratowe, są punktami przecięć kratek. jeśli punkt jest kratowy, to jego współrzędne są liczbami całkowitymi.