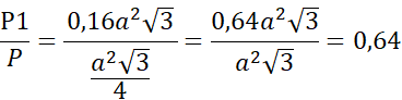
a – długość boku trójkąta równobocznego
(a – 20% · a) – długość boku trójkąta równobocznego po zmniejszeniu boku
Pk = a2
Pk1 = (a – 0,2a)2
Odp.: pole tych wielokątów zmniejszyło się 0,64 razy.
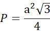
Skorzystaj ze wzoru na pole trójkąta równobocznego:
oraz ze wzoru na pole kwadratu:
P = a2