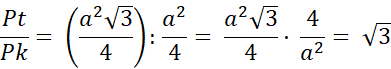
Mamy kwadrat i trójkąt równoboczny. Podaj, ile razy pole trójkąta równobocznego jest większe od pola kwadratu, jeśli wiemy, że jego bok jest dwa razy większy od boku kwadratu.
Rozwiązanie
a – długość boku trójkąta równobocznego
Wyjaśnienie
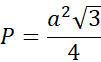
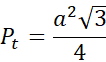
Skorzystaj ze wzoru na pole trójkąta równobocznego: