Obwt = 3 · a = 24 cm / : 3
a = 8 cm
Obwk = 4 · a = 24 cm / : 4
a = 6 cm
Pk = aa = 62 = 36 cm2
Obwsz = 6 · a = 24 cm / : 6
a = 4 cm
Największe pole ma sześciokąt, a najmniejsze trójkąt.
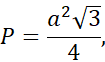
Skorzystaj ze wzoru na pole trójkąta równobocznego:
a – długość jego boku.
Wzór na pole kwadratu to:
P = a2,
a – długość jego boku.
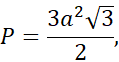
Wzór na pole sześciokąta foremnego:
a – długość boku sześciokąta.