W tym zadaniu musisz rozwiązać układ równań.
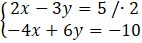
4x – 6y – 4x + 6y = 10 – 10
0 = 0
Tożsamość – układ nieoznaczony
Odp. D. ma nieskończenie wiele rozwiązań
Na początku zadania powinieneś przemnożyć pierwsze równanie przez 2, aby uzyskać przeciwne współczynniki przy niewiadomych. Następnie musisz dodać do siebie równania stronami. Po uproszczeniu powstałego równania, wszystkie niewiadome zostaną zredukowane. Jeśli obie strony równania są takie same to układ jest nieoznaczony (ma nieskończenie wiele rozwiązań), a jeśli są one różne to jest to układ sprzeczny (nie ma rozwiązań).
Zadanie 1
84Zadanie 2
84Zadanie 4
84Zadanie 5
84Zadanie 8
85Zadanie 9
85Zadanie 10
85Zadanie 11
85Zadanie 12
85Zadanie 13
86Zadanie 14
86Zadanie 17
86Zadanie 1
87Zadanie 2
87Zadanie 3
87Zadanie 4
87Zadanie 5
87Zadanie 6
87Zadanie 7
88Zadanie 9
88Zadanie 14
89Zadanie 15
89Zadanie 16
89Zadanie 18
89Zadanie 19
89Zadanie 21
89Zadanie 1
90Zadanie 2
90Zadanie 3
90Zadanie 4
90Zadanie 5
90Zadanie 6
90Zadanie 7
90Zadanie 8
91Zadanie 9
91Zadanie 10
91Zadanie 11
91Zadanie 12
91Zadanie 13
91Zadanie 14
92Zadanie 16
92Zadanie 18
92Zadanie 21
92Zadanie 12
94Zadanie 5
97Zadanie 1
101Zadanie 6
101Zadanie 7
101Zadanie 10
102Zadanie 11
102Zadanie 12
102Zadanie 13
102