W tym zadaniu musisz skorzystać z sumy dorosłych i dzieci w cukierni oraz zależności między dorosłymi i dziećmi po wyjściu osób z cukierni, aby wskazać liczbę dorosłych i dzieci po wyjściu osób.
x – liczba dorosłych na początku
y – liczba dzieci
x – 1 – liczba dorosłych po wyjściu
y – 2 – liczba dzieci po wyjściu
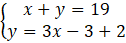
x + 3x – 1 = 19 /+1
4x = 20 /:4
x = 5
y = 3x – 1 = 3 ∙ 5 – 1 = 15 – 1 = 14
x – 1 = 5 – 1 = 4
y – 2 = 14 – 2 = 12
Odp. W cukierni jest teraz 4 dorosłych i 12 dzieci.
Na początku musisz oznaczyć symbolami liczbę dorosłych i dzieci na początku. Następnie musisz zapisać pierwsze równanie, w którym suma osób na początku wynosi 19. Drugim równaniem będzie to, że liczba dzieci pomniejszona o 2 stanowi trzykrotność liczby dorosłych pomniejszonej o 2. Na końcu musisz policzyć obecną liczbę dorosłych i dzieci.
Zadanie 1
84Zadanie 2
84Zadanie 4
84Zadanie 5
84Zadanie 8
85Zadanie 9
85Zadanie 10
85Zadanie 11
85Zadanie 12
85Zadanie 13
86Zadanie 14
86Zadanie 17
86Zadanie 1
87Zadanie 2
87Zadanie 3
87Zadanie 4
87Zadanie 5
87Zadanie 6
87Zadanie 7
88Zadanie 9
88Zadanie 14
89Zadanie 15
89Zadanie 16
89Zadanie 18
89Zadanie 19
89Zadanie 21
89Zadanie 1
90Zadanie 2
90Zadanie 3
90Zadanie 4
90Zadanie 5
90Zadanie 6
90Zadanie 7
90Zadanie 8
91Zadanie 9
91Zadanie 10
91Zadanie 11
91Zadanie 12
91Zadanie 13
91Zadanie 14
92Zadanie 16
92Zadanie 18
92Zadanie 21
92Zadanie 12
94Zadanie 5
97Zadanie 1
101Zadanie 6
101Zadanie 7
101Zadanie 10
102Zadanie 11
102Zadanie 12
102Zadanie 13
102