W tym zadaniu musisz skorzystać z sumy wieków Szymona i Marty oraz z zależności między ich wiekami 6 lat temu, aby wyliczyć wiek każdego z nich.
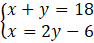
x – wiek Szymona
y – wiek Marty
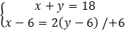
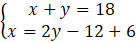
2y – 6 + y = 18 /+6
3y = 24 /:3
y = 8
x = 2y – 6 = 2 ∙ 8 – 6 = 16 – 6 = 10
Odp. Szymon ma 10 lat, a Marta 8.
Na początku musisz oznaczyć symbolami wiek Szymona i Marty. Następnie musisz zapisać pierwsze równanie, w którym suma ich wieków wynosi 18. Drugim równaniem będzie to, że wiek Szymona pomniejszony o 6 stanowi dwukrotność wieku Ewy pomniejszonego o 6.
Zadanie 1
84Zadanie 2
84Zadanie 4
84Zadanie 5
84Zadanie 8
85Zadanie 9
85Zadanie 10
85Zadanie 11
85Zadanie 12
85Zadanie 13
86Zadanie 14
86Zadanie 17
86Zadanie 1
87Zadanie 2
87Zadanie 3
87Zadanie 4
87Zadanie 5
87Zadanie 6
87Zadanie 7
88Zadanie 9
88Zadanie 14
89Zadanie 15
89Zadanie 16
89Zadanie 18
89Zadanie 19
89Zadanie 21
89Zadanie 1
90Zadanie 2
90Zadanie 3
90Zadanie 4
90Zadanie 5
90Zadanie 6
90Zadanie 7
90Zadanie 8
91Zadanie 9
91Zadanie 10
91Zadanie 11
91Zadanie 12
91Zadanie 13
91Zadanie 14
92Zadanie 16
92Zadanie 18
92Zadanie 21
92Zadanie 12
94Zadanie 5
97Zadanie 1
101Zadanie 6
101Zadanie 7
101Zadanie 10
102Zadanie 11
102Zadanie 12
102Zadanie 13
102