W tym zadaniu musisz skorzystać z sumy czasów spędzonych na każdym odcinku oraz sumy odcinków drogi, aby stworzyć układ równań. Następnie musisz sprawdzić, która część drogi musiała być dłuższa, żeby przejechać trasę w godzinę.
x – długość ścieżki asfaltowej w km
y – długość leśnej drogi w km
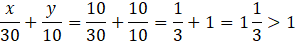
Gdyby oba odcinkidrogi miały tę samą długość x = 10 i y = 10:
Za dużo czasu
Gdyby ścieżka asfaltowa była dłuższa x = 15 i y = 5:
Zgadza się
Gdyby leśna droga była dłuższa x = 5 i y = 15:
Za dużo czasu
Odp. Ścieżka asfaltowa była dłuższa.
Na początku musisz oznaczyć symbolami długość ścieżki asfaltowej i leśnej drogi. Następnie musisz zapisać pierwsze równanie, w którym suma czasów (musisz skorzystać ze wzoru na prędkość
Zadanie 1
84Zadanie 2
84Zadanie 4
84Zadanie 5
84Zadanie 8
85Zadanie 9
85Zadanie 10
85Zadanie 11
85Zadanie 12
85Zadanie 13
86Zadanie 14
86Zadanie 17
86Zadanie 1
87Zadanie 2
87Zadanie 3
87Zadanie 4
87Zadanie 5
87Zadanie 6
87Zadanie 7
88Zadanie 9
88Zadanie 14
89Zadanie 15
89Zadanie 16
89Zadanie 18
89Zadanie 19
89Zadanie 21
89Zadanie 1
90Zadanie 2
90Zadanie 3
90Zadanie 4
90Zadanie 5
90Zadanie 6
90Zadanie 7
90Zadanie 8
91Zadanie 9
91Zadanie 10
91Zadanie 11
91Zadanie 12
91Zadanie 13
91Zadanie 14
92Zadanie 16
92Zadanie 18
92Zadanie 21
92Zadanie 12
94Zadanie 5
97Zadanie 1
101Zadanie 6
101Zadanie 7
101Zadanie 10
102Zadanie 11
102Zadanie 12
102Zadanie 13
102