W tym zadaniu musisz skorzystać ze stosunku masy złota i miedzi w kulce i kostce, sumą mas kulki i kostki oraz stosunku masy złota i miedzi w stopie, aby wyliczyć masy poszczególnych metali w kulce i kostce. Na końcu musisz zsumować masę złota i miedzi w kulce oraz kostce.
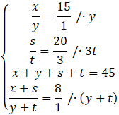
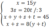
x – masa złota w kulce w gramach
y – masa miedzi w kulce w gramach
s – masa złota w kostce w gramach
t – masa miedzi w kostce w gramach
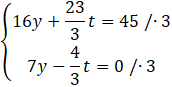
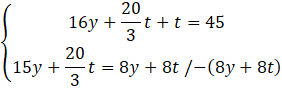
336y + 161t – 336y + 64t = 945 + 0
225t = 945 /:225
x + y = 12 + 0,8 = 12,8
s + t = 28 + 4,2 = 32,2
Odp. Kulka ważyła 12,8 g, a kostka 32,2 g.
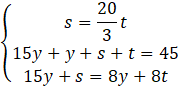
Na początku musisz oznaczyć symbolami masę złota i miedzi w kulce i kostce. Następnie musisz zapisać pierwsze równanie, w którym iloraz masy złota i miedzi w kulce jest równy 15. Drugim równaniem będzie to, że iloraz masy złota i miedzi w kostce jest równy
Zadanie 1
84Zadanie 2
84Zadanie 4
84Zadanie 5
84Zadanie 8
85Zadanie 9
85Zadanie 10
85Zadanie 11
85Zadanie 12
85Zadanie 13
86Zadanie 14
86Zadanie 17
86Zadanie 1
87Zadanie 2
87Zadanie 3
87Zadanie 4
87Zadanie 5
87Zadanie 6
87Zadanie 7
88Zadanie 9
88Zadanie 14
89Zadanie 15
89Zadanie 16
89Zadanie 18
89Zadanie 19
89Zadanie 21
89Zadanie 1
90Zadanie 2
90Zadanie 3
90Zadanie 4
90Zadanie 5
90Zadanie 6
90Zadanie 7
90Zadanie 8
91Zadanie 9
91Zadanie 10
91Zadanie 11
91Zadanie 12
91Zadanie 13
91Zadanie 14
92Zadanie 16
92Zadanie 18
92Zadanie 21
92Zadanie 12
94Zadanie 5
97Zadanie 1
101Zadanie 6
101Zadanie 7
101Zadanie 10
102Zadanie 11
102Zadanie 12
102Zadanie 13
102