W tym zadaniu musisz stworzyć równanie z dwoma niewiadomymi i wyznaczyć wszystkie pary liczb naturalnych, które spełniają równanie, wiedząc, że 30 osób należy rozmieścić w schronisku, którego pokoje są 3- i 4-osobowe.
x – liczba zajętych pokoi 3-osobowych (
y – liczba zajętych pokoi 4-osobowych (
3x + 4y = 30 /-3x
4y = 30 – 3x
4y = 3(10 – x)
10 – x = 4k /-10
-x = 4k – 10 /∙ (-1)
x = 10 – 4k
4y = 3(10 – (10 – 4k))
4y = 3(10 – 10 + 4k)
4y = 3 ∙ 4k /:4
y = 3k
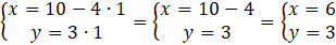
Dlak = 0:
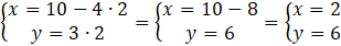
Dlak = 1:
Dlak = 2:
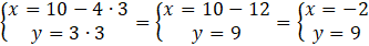
Dlak = 3:
Nie można rozlokować ujemnej liczby pokoi
Odp. Wszystkich uczestników można rozlokować w 10 pokojach 3-osobowych lub 6 pokojach 3-osobowych i 3 pokojach 4-osobowych lub 2 pokojach 3-osobowych i 6 pokojach 4-osobowych.
Na początku zadania musisz stworzyć równanie, w którym suma wszystkich osób w pokojach 3-osobowych i 4-osobowych jest równa 30. W kolejnym kroku musisz przekształcić równanie tak, aby po lewej stronie znajdowała się jedynie niewiadoma y. Po prawej stronie musisz wyłączyć wspólny czynnik przed nawias. W wyniku tych działać po prawej stronie znajduje się iloczyn 3 i innego czynnika, a po lewej liczba, będąca wielokrotnością czwórki. Aby iloczyn dwóch liczb był wielokrotnością czwórki, jeden z czynników musi być wielokrotnością 4. Musisz przyrównać czynnik z niewiadomą do ogólnego wzoru wielokrotności 4. Następnie musisz wyznaczyć z tego równania x. W kolejnym kroku musisz podstawić wyznaczoną wartość do pierwszego równania i wyznaczyć z niego wartość x. Na końcu musisz podstawiać pod współczynnik k kolejne liczby naturalne, tak aby liczba pokoi nie była ujemna.
Zadanie 1
84Zadanie 2
84Zadanie 4
84Zadanie 5
84Zadanie 8
85Zadanie 9
85Zadanie 10
85Zadanie 11
85Zadanie 12
85Zadanie 13
86Zadanie 14
86Zadanie 17
86Zadanie 1
87Zadanie 2
87Zadanie 3
87Zadanie 4
87Zadanie 5
87Zadanie 6
87Zadanie 7
88Zadanie 9
88Zadanie 14
89Zadanie 15
89Zadanie 16
89Zadanie 18
89Zadanie 19
89Zadanie 21
89Zadanie 1
90Zadanie 2
90Zadanie 3
90Zadanie 4
90Zadanie 5
90Zadanie 6
90Zadanie 7
90Zadanie 8
91Zadanie 9
91Zadanie 10
91Zadanie 11
91Zadanie 12
91Zadanie 13
91Zadanie 14
92Zadanie 16
92Zadanie 18
92Zadanie 21
92Zadanie 12
94Zadanie 5
97Zadanie 1
101Zadanie 6
101Zadanie 7
101Zadanie 10
102Zadanie 11
102Zadanie 12
102Zadanie 13
102