Aby ocenić prawdziwość pierwszego zdania musisz sprawdzić czy istnieje rozwiązanie ukłądu. Aby ocenić prawdziwość drugiego zdania musisz rozwiązać równanie i spróbować stworzyć drugie równanie z niewiadomą
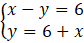
Zdanie 1.
x – (6 + x) = 6
x – 6 – x = 6
-6 = 6
Sprzeczność – układ sprzeczny (brak rozwiązań)
PRAWDA
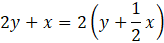
Zdanie 2.
2x + 3(x + 4) = 240
2x + 3x + 12 = 240 /-12
5x = 228 /:5
x = 45,6
Na przykład:
2y + x = 2y + x /-(2y + x)
0 = 0
Tożsamość;
PRAWDA
Odp. Oba zdania są prawdziwe.
Aby rozwiązać pierwszy układ równań musisz podstawić drugie równanie do pierwszego. Po uproszczeniu powstałego równania zniknie z niego niewiadoma. Jeśli po lewej i prawej stronie są te same liczby to układ jest nieoznaczony i ma nieskończenie wiele rozwiązań, a jeśli liczby są różne to układ jest sprzeczny i nie ma żadnego rozwiązania. Aby ocenić drugie zdanie musisz rozwiązać równanie, a następnie stworzyć równanie, w którym znajduje się niewiadoma
Zadanie 1
84Zadanie 2
84Zadanie 4
84Zadanie 5
84Zadanie 8
85Zadanie 9
85Zadanie 10
85Zadanie 11
85Zadanie 12
85Zadanie 13
86Zadanie 14
86Zadanie 17
86Zadanie 1
87Zadanie 2
87Zadanie 3
87Zadanie 4
87Zadanie 5
87Zadanie 6
87Zadanie 7
88Zadanie 9
88Zadanie 14
89Zadanie 15
89Zadanie 16
89Zadanie 18
89Zadanie 19
89Zadanie 21
89Zadanie 1
90Zadanie 2
90Zadanie 3
90Zadanie 4
90Zadanie 5
90Zadanie 6
90Zadanie 7
90Zadanie 8
91Zadanie 9
91Zadanie 10
91Zadanie 11
91Zadanie 12
91Zadanie 13
91Zadanie 14
92Zadanie 16
92Zadanie 18
92Zadanie 21
92Zadanie 12
94Zadanie 5
97Zadanie 1
101Zadanie 6
101Zadanie 7
101Zadanie 10
102Zadanie 11
102Zadanie 12
102Zadanie 13
102