W tym zadaniu musisz skorzystać z sumy wszystkich piłeczek, zależności między liczbą zielonych i białych piłeczek oraz zależności między liczbą zielonych piłeczek, a średnią reszty, aby wyliczyć liczbę poszczególnych piłeczek. Następnie musisz obliczyć o ile procent trzeba zwiększyć liczbę białych piłeczek, aby to one stanowiły średnią reszty.
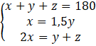
x – liczba zielonych piłeczek
y – liczba białych piłeczek
z – liczba czarnych piłeczek
2,5y + z + 2y – z = 180 + 0
4,5y = 180 /:4,5
y = 40
x + 40 + z = 180 /-40
x + z = 140
Odp. Aby liczba białych piłeczek była średnią arytmetyczną liczby zielonych i czarnych piłeczek, należałoby ją zwiększyć o 75%.
Na początku musisz oznaczyć symbolami liczbę wszystkich piłeczek. Następnie musisz zapisać pierwsze równanie, w którym suma wszystkich piłeczek wynosi 180. Drugim równaniem będzie to, że liczba zielonych piłeczek sanowi 150% liczby białych. Ostatnim równaniem będzie to, że liczba zielonych piłeczek stanowi średnią arytmetyczną białych i czarnych piłeczek. Po wyliczeniu liczby piłeczek musisz obliczyć średnią zielonych i czarnych. W kolejnym kroku musisz odjąć od średniej liczbę białych piłeczek. Na końcu musisz podzielić wynik tej różnicy przez początkową liczbę białych piłeczek i przemnożyć wynik przez 100%.
Zadanie 1
84Zadanie 2
84Zadanie 4
84Zadanie 5
84Zadanie 8
85Zadanie 9
85Zadanie 10
85Zadanie 11
85Zadanie 12
85Zadanie 13
86Zadanie 14
86Zadanie 17
86Zadanie 1
87Zadanie 2
87Zadanie 3
87Zadanie 4
87Zadanie 5
87Zadanie 6
87Zadanie 7
88Zadanie 9
88Zadanie 14
89Zadanie 15
89Zadanie 16
89Zadanie 18
89Zadanie 19
89Zadanie 21
89Zadanie 1
90Zadanie 2
90Zadanie 3
90Zadanie 4
90Zadanie 5
90Zadanie 6
90Zadanie 7
90Zadanie 8
91Zadanie 9
91Zadanie 10
91Zadanie 11
91Zadanie 12
91Zadanie 13
91Zadanie 14
92Zadanie 16
92Zadanie 18
92Zadanie 21
92Zadanie 12
94Zadanie 5
97Zadanie 1
101Zadanie 6
101Zadanie 7
101Zadanie 10
102Zadanie 11
102Zadanie 12
102Zadanie 13
102