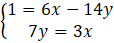
W tym zadaniu musisz sprawdzić czy układ równań
2 ∙ 7y – 14y = 1
14y - 14y = 1
0 = 1
Sprzeczność – brak rozwiązań
Odp. Układ jest sprzeczny.
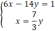
Na początku tego zadania musisz przekształcić którekolwiek z równań tak, aby po lewej stronie została sama niewiadoma. Następnie musisz podstawić pod tę niewiadomą w drugim równaniu wyznaczone wyrażenie na jej wartość. Jeśli z powstałego równania możesz wyznaczyć dokładną wartość pozostałej niewiadomej to układ jest oznaczony (ma dokładnie jedno rozwiązanie). Jeśli powstałe równanie jest tożsame (po obu stronach równania nie ma niewiadomych, są te same liczby) to układ jest nieoznaczony (ma nieskończenie wiele rozwiązań). Jeśli powstałe równanie jest sprzeczne (po obu stronach równania nie ma niewiadomych, są różne liczby) to układ jest sprzeczny (nie ma rozwiązania).
Zadanie 1
84Zadanie 2
84Zadanie 4
84Zadanie 5
84Zadanie 8
85Zadanie 9
85Zadanie 10
85Zadanie 11
85Zadanie 12
85Zadanie 13
86Zadanie 14
86Zadanie 17
86Zadanie 1
87Zadanie 2
87Zadanie 3
87Zadanie 4
87Zadanie 5
87Zadanie 6
87Zadanie 7
88Zadanie 9
88Zadanie 14
89Zadanie 15
89Zadanie 16
89Zadanie 18
89Zadanie 19
89Zadanie 21
89Zadanie 1
90Zadanie 2
90Zadanie 3
90Zadanie 4
90Zadanie 5
90Zadanie 6
90Zadanie 7
90Zadanie 8
91Zadanie 9
91Zadanie 10
91Zadanie 11
91Zadanie 12
91Zadanie 13
91Zadanie 14
92Zadanie 16
92Zadanie 18
92Zadanie 21
92Zadanie 12
94Zadanie 5
97Zadanie 1
101Zadanie 6
101Zadanie 7
101Zadanie 10
102Zadanie 11
102Zadanie 12
102Zadanie 13
102