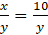
W tym zadaniu musisz skorzystać ze średniej arytmetycznej wzrostu chłopców oraz z reszty z dzielenia wzrostu jednego przez wzrost drugiego, aby wyliczyć wzrost chłopaków.
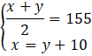
x – wzrost Bolka
y – wzrost Lolka
100 < x < 200 i 100 < y < 200
Jeśli x < y to
Jeśli x > y to
2y + 10 = 310 /-10
2y = 300 /:2
y = 150
x = y + 10 = 150 + 10 = 160
Odp. Bolek ma 160 cm wzrostu, a Lolek 150 cm.
Na początku musisz oznaczyć symbolami wzrost Bolka i Lolka. Musisz również wykazać, który z chłopców jest wyższy sprawdzając dla którego wariantu wynik z dzielenia jest większy od 1. Następnie musisz zapisać pierwsze równanie, w którym średnia ich wzrostu wynosi 155. Drugim równaniem będzie to, że wzrost wyższego z chłopców jest o 10 większy od wzrostu niższego.
Zadanie 1
84Zadanie 2
84Zadanie 4
84Zadanie 5
84Zadanie 8
85Zadanie 9
85Zadanie 10
85Zadanie 11
85Zadanie 12
85Zadanie 13
86Zadanie 14
86Zadanie 17
86Zadanie 1
87Zadanie 2
87Zadanie 3
87Zadanie 4
87Zadanie 5
87Zadanie 6
87Zadanie 7
88Zadanie 9
88Zadanie 14
89Zadanie 15
89Zadanie 16
89Zadanie 18
89Zadanie 19
89Zadanie 21
89Zadanie 1
90Zadanie 2
90Zadanie 3
90Zadanie 4
90Zadanie 5
90Zadanie 6
90Zadanie 7
90Zadanie 8
91Zadanie 9
91Zadanie 10
91Zadanie 11
91Zadanie 12
91Zadanie 13
91Zadanie 14
92Zadanie 16
92Zadanie 18
92Zadanie 21
92Zadanie 12
94Zadanie 5
97Zadanie 1
101Zadanie 6
101Zadanie 7
101Zadanie 10
102Zadanie 11
102Zadanie 12
102Zadanie 13
102