W tym zadaniu musisz wymyśleć do każdego równania spośród I. 3x - 2y = 4 II. x + 2y = -4 III. 3y – 4 = 7x IV. y – 3 = 0 inne równanie tak, aby układ tych równań nie miał rozwiązania.
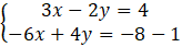
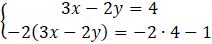
I. 3x – 2y = 4
Na przykład:
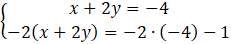
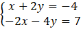
II. x + 2y = -4
Na przykład:
III. 3y – 4 = 7x
Na przykład:
IV. y – 3 = 0
Na przykład:
Aby najprościej dopasować drugie równanie tak, aby powstał układ sprzeczny, wystarczy, że będzie to równanie powstałe przez wymnożenie pierwszego równania przez dowolną liczbę różną od 0, gdzie następnie zmieniono liczbę na dowolną inną.
Zadanie 1
84Zadanie 2
84Zadanie 4
84Zadanie 5
84Zadanie 8
85Zadanie 9
85Zadanie 10
85Zadanie 11
85Zadanie 12
85Zadanie 13
86Zadanie 14
86Zadanie 17
86Zadanie 1
87Zadanie 2
87Zadanie 3
87Zadanie 4
87Zadanie 5
87Zadanie 6
87Zadanie 7
88Zadanie 9
88Zadanie 14
89Zadanie 15
89Zadanie 16
89Zadanie 18
89Zadanie 19
89Zadanie 21
89Zadanie 1
90Zadanie 2
90Zadanie 3
90Zadanie 4
90Zadanie 5
90Zadanie 6
90Zadanie 7
90Zadanie 8
91Zadanie 9
91Zadanie 10
91Zadanie 11
91Zadanie 12
91Zadanie 13
91Zadanie 14
92Zadanie 16
92Zadanie 18
92Zadanie 21
92Zadanie 12
94Zadanie 5
97Zadanie 1
101Zadanie 6
101Zadanie 7
101Zadanie 10
102Zadanie 11
102Zadanie 12
102Zadanie 13
102