W tym zadaniu musisz wyznaczyć trzy pary liczb, w których po dodaniu do czterokrotności pierwszej,
y = -16x
Na przykład:
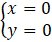
Dla x = 0:
y = -16x = -16 ∙ 0 = 0
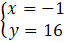
Dla x = -1:
y = -16x = -16 ∙ (-1) = 16
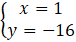
Dla x = 1:
y = -16x = -16 ∙ 1 = -16
Odp.
Na początku zadania powinieneś wyznaczyć wzór na jedną z niewiadomych. Następnie musisz wybrać trzy dowolne wartości niewiadomej znajdującej się w tym wzorze i wyliczyć wartości drugiej niewiadomej ze wzoru.
Zadanie 1
84Zadanie 2
84Zadanie 4
84Zadanie 5
84Zadanie 8
85Zadanie 9
85Zadanie 10
85Zadanie 11
85Zadanie 12
85Zadanie 13
86Zadanie 14
86Zadanie 17
86Zadanie 1
87Zadanie 2
87Zadanie 3
87Zadanie 4
87Zadanie 5
87Zadanie 6
87Zadanie 7
88Zadanie 9
88Zadanie 14
89Zadanie 15
89Zadanie 16
89Zadanie 18
89Zadanie 19
89Zadanie 21
89Zadanie 1
90Zadanie 2
90Zadanie 3
90Zadanie 4
90Zadanie 5
90Zadanie 6
90Zadanie 7
90Zadanie 8
91Zadanie 9
91Zadanie 10
91Zadanie 11
91Zadanie 12
91Zadanie 13
91Zadanie 14
92Zadanie 16
92Zadanie 18
92Zadanie 21
92Zadanie 12
94Zadanie 5
97Zadanie 1
101Zadanie 6
101Zadanie 7
101Zadanie 10
102Zadanie 11
102Zadanie 12
102Zadanie 13
102