W tym zadaniu musisz skorzystać ze wspólnych wag zwierząt, aby wagi zwierząt. Następnie musisz określić, czy pies, czy kot jest cięższe i o ile.
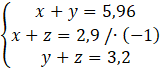
x – waga kota w kilogramach
y – waga psa w kilogramach
z – waga myszy w kilogramach
y – z + y + z = 3,06 + 3,2
2y = 6,26 /:2
y = 3,13
x + 3,13 = 5,96 /-3,13
x = 2,83
y – x = 3,13 – 2,83 = 0,3 [kg] = 300 g
Odp. Pies jest cięższy od kota o 300 gramów.
Na początku musisz oznaczyć symbolami wagi każdego z trzech zwierząt. Następnie musisz zapisać pierwsze równanie, w którym wspólna waga kota i psa wynosi 5,96. Drugim równaniem będzie to, że wspólna waga kota i myszy wynosi 2,9. W ostatnim równaniu musisz zapisać to, że wspólna waga psa i myszy jest równa 3,2. Na końcu musisz odjąć od wagi psa wagę kota.
Zadanie 1
84Zadanie 2
84Zadanie 4
84Zadanie 5
84Zadanie 8
85Zadanie 9
85Zadanie 10
85Zadanie 11
85Zadanie 12
85Zadanie 13
86Zadanie 14
86Zadanie 17
86Zadanie 1
87Zadanie 2
87Zadanie 3
87Zadanie 4
87Zadanie 5
87Zadanie 6
87Zadanie 7
88Zadanie 9
88Zadanie 14
89Zadanie 15
89Zadanie 16
89Zadanie 18
89Zadanie 19
89Zadanie 21
89Zadanie 1
90Zadanie 2
90Zadanie 3
90Zadanie 4
90Zadanie 5
90Zadanie 6
90Zadanie 7
90Zadanie 8
91Zadanie 9
91Zadanie 10
91Zadanie 11
91Zadanie 12
91Zadanie 13
91Zadanie 14
92Zadanie 16
92Zadanie 18
92Zadanie 21
92Zadanie 12
94Zadanie 5
97Zadanie 1
101Zadanie 6
101Zadanie 7
101Zadanie 10
102Zadanie 11
102Zadanie 12
102Zadanie 13
102