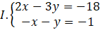
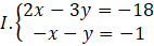
W tym zadaniu musisz sprawdzić, które układy równań spełnia para liczb x = -3, y = 4.
2x – 3y = 2 ∙ (-3) – 3 ∙ 4 = -6 – 12 = -18
-x – y = -(-3) – 4 = 3 – 4 = -1
0,2x – 3y = 0,2 ∙ (-3) – 3 ∙ 4 = -0,6 – 12 = -12,6
4x + 0,3y = 4 ∙ (-3) + 0,3 ∙ 4 = -12 + 1,2 = -10,8
Odp. Wszystkie układy równań są spełnione przez parę liczb
W tym zadaniu musisz podstawić do każdego z równań w trzech układach równań wartości niewiadomych x = -3, y = 4. Następnie musisz sprawdzić, w których układach równań, oba równania są spełnione przez te liczby.
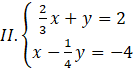
Zadanie 1
84Zadanie 2
84Zadanie 4
84Zadanie 5
84Zadanie 8
85Zadanie 9
85Zadanie 10
85Zadanie 11
85Zadanie 12
85Zadanie 13
86Zadanie 14
86Zadanie 17
86Zadanie 1
87Zadanie 2
87Zadanie 3
87Zadanie 4
87Zadanie 5
87Zadanie 6
87Zadanie 7
88Zadanie 9
88Zadanie 14
89Zadanie 15
89Zadanie 16
89Zadanie 18
89Zadanie 19
89Zadanie 21
89Zadanie 1
90Zadanie 2
90Zadanie 3
90Zadanie 4
90Zadanie 5
90Zadanie 6
90Zadanie 7
90Zadanie 8
91Zadanie 9
91Zadanie 10
91Zadanie 11
91Zadanie 12
91Zadanie 13
91Zadanie 14
92Zadanie 16
92Zadanie 18
92Zadanie 21
92Zadanie 12
94Zadanie 5
97Zadanie 1
101Zadanie 6
101Zadanie 7
101Zadanie 10
102Zadanie 11
102Zadanie 12
102Zadanie 13
102