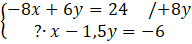
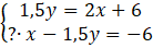
W tym zadaniu musisz wstawić, jeśli jest to możliwe, w miejsce znaku zapytania taką liczbę, aby układ
? ∙ x – (2x + 6) = -6
? ∙ x – 2x – 6 = -6 /+6
(? – 2)x = 0
Odp. Dla żadnej liczby w miejscu ? układ nie będzie sprzeczny.
Na początku tego zadania musisz przekształcić którekolwiek z równań tak, aby po lewej stronie została sama niewiadoma (lub jej wielokrotność, ponieważ występuje taka w drugim równaniu). Następnie musisz podstawić pod tę niewiadomą w drugim równaniu wyznaczone wyrażenie na jej wartość. Jeśli po uproszczeniu powstałego równania w równaniu pozostała niewiadoma to za ? można wstawić dowolną liczbę, aby układ był oznaczony (miał dokładnie jedno rozwiązanie). Jeśli w uproszczonym równanie nie ma niewiadome to układ nie może być oznaczony; jeśli w miejscu ? stanie ta sama liczba co po drugiej stronie to układ będzie nieoznaczony (nieskończenie wiele rozwiązań), a dla dowolnej innej liczby układ będzie sprzeczny (brak rozwiązań).
Zadanie 1
84Zadanie 2
84Zadanie 4
84Zadanie 5
84Zadanie 8
85Zadanie 9
85Zadanie 10
85Zadanie 11
85Zadanie 12
85Zadanie 13
86Zadanie 14
86Zadanie 17
86Zadanie 1
87Zadanie 2
87Zadanie 3
87Zadanie 4
87Zadanie 5
87Zadanie 6
87Zadanie 7
88Zadanie 9
88Zadanie 14
89Zadanie 15
89Zadanie 16
89Zadanie 18
89Zadanie 19
89Zadanie 21
89Zadanie 1
90Zadanie 2
90Zadanie 3
90Zadanie 4
90Zadanie 5
90Zadanie 6
90Zadanie 7
90Zadanie 8
91Zadanie 9
91Zadanie 10
91Zadanie 11
91Zadanie 12
91Zadanie 13
91Zadanie 14
92Zadanie 16
92Zadanie 18
92Zadanie 21
92Zadanie 12
94Zadanie 5
97Zadanie 1
101Zadanie 6
101Zadanie 7
101Zadanie 10
102Zadanie 11
102Zadanie 12
102Zadanie 13
102