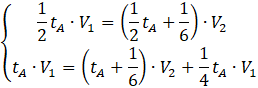
W tym zadaniu musisz skorzystać z długości połowy trasy i całkowitej trasy do szkoły, aby wyliczyć wartość czasu.
V1 – prędkość Adama w km/h
V2 – prędkość Bartka w km/h
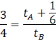
tA – czas, w którym Adam dotarł do szkoły w godzinach
s = V ∙ t
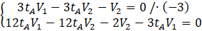
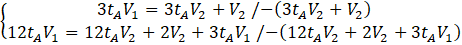
-9tAV1 + 9tAV2 + 3V2 + 9tAV1 – 12tAV2 – 2V2 = 0
-3tAV2 + V2 = 0
(-3tA + 1)V2 = 0
-3tA + 1 = 0 lub V2 = 0 – prędkość nie może być równa 0
-3tA + 1 = 0 /-1
-3tA = -1 /:(-3)
tB– czas, w którym Bartek dotarł do szkoły w godzinach
3tB = 2 /:3
Odp. Jazda Adama trwała 20 minut, a Bartka 40 minut.
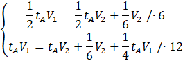
Na początku musisz oznaczyć symbolami prędkości chłopców oraz czas, który zajął każdemu z chłopców na dotarcie do szkoły. Następnie musisz zapisać pierwsze równanie, w którym iloczyn czasu, który zajmuje Adamowi na połowy drogi, z prędkością Adama jest równy iloczynowi czasu, który zajmuje Adamowi pokonanie połowy trasę powiększonego o
Zadanie 1
84Zadanie 2
84Zadanie 4
84Zadanie 5
84Zadanie 8
85Zadanie 9
85Zadanie 10
85Zadanie 11
85Zadanie 12
85Zadanie 13
86Zadanie 14
86Zadanie 17
86Zadanie 1
87Zadanie 2
87Zadanie 3
87Zadanie 4
87Zadanie 5
87Zadanie 6
87Zadanie 7
88Zadanie 9
88Zadanie 14
89Zadanie 15
89Zadanie 16
89Zadanie 18
89Zadanie 19
89Zadanie 21
89Zadanie 1
90Zadanie 2
90Zadanie 3
90Zadanie 4
90Zadanie 5
90Zadanie 6
90Zadanie 7
90Zadanie 8
91Zadanie 9
91Zadanie 10
91Zadanie 11
91Zadanie 12
91Zadanie 13
91Zadanie 14
92Zadanie 16
92Zadanie 18
92Zadanie 21
92Zadanie 12
94Zadanie 5
97Zadanie 1
101Zadanie 6
101Zadanie 7
101Zadanie 10
102Zadanie 11
102Zadanie 12
102Zadanie 13
102