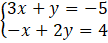
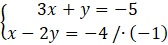
Wyznacz wartość wyrażenia opisanego równaniem 2x + 3y = 0, wiedząc, że y + 3x = -5 i x – 2y = -4.
3x + y – x + 2y = -5 + 4
2x + 3y = -1
Odp. 2x + 3y = -1.
Na początku zadania musisz ułożyć niewiadome w pierwszym równaniu w odpowiedniej kolejności (najpierw x, potem y). W kolejnym kroku musisz przemnożyć drugie równanie przez -1, aby po dodaniu do siebie stronami obu równań otrzymać po lewej stronie szukaną sumę. Po uproszczeniu prawej strony otrzymasz jej wartość.
Zadanie 1
84Zadanie 2
84Zadanie 4
84Zadanie 5
84Zadanie 8
85Zadanie 9
85Zadanie 10
85Zadanie 11
85Zadanie 12
85Zadanie 13
86Zadanie 14
86Zadanie 17
86Zadanie 1
87Zadanie 2
87Zadanie 3
87Zadanie 4
87Zadanie 5
87Zadanie 6
87Zadanie 7
88Zadanie 9
88Zadanie 14
89Zadanie 15
89Zadanie 16
89Zadanie 18
89Zadanie 19
89Zadanie 21
89Zadanie 1
90Zadanie 2
90Zadanie 3
90Zadanie 4
90Zadanie 5
90Zadanie 6
90Zadanie 7
90Zadanie 8
91Zadanie 9
91Zadanie 10
91Zadanie 11
91Zadanie 12
91Zadanie 13
91Zadanie 14
92Zadanie 16
92Zadanie 18
92Zadanie 21
92Zadanie 12
94Zadanie 5
97Zadanie 1
101Zadanie 6
101Zadanie 7
101Zadanie 10
102Zadanie 11
102Zadanie 12
102Zadanie 13
102