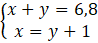
Wyznacz masy kury i koguta, wiedząc, że ich łączna masa wynosi 6,80 kg oraz że koguta jest cięższy od kury o 1 kg.
x – waga koguta w kg
y – waga kury w kg
y + 1 + y = 6,8 /-1
2y = 5,8 /:2
y = 2,9
x = y + 1 = 2,9 + 1
Odp. Kura waży 2,9 kg, a kogut 3,9 kg.
Na początku musisz oznaczyć symbolami wagę koguta i kury. Następnie musisz zapisać pierwsze równanie, w którym suma wagi koguta i kury wynosi 6,8. Drugim równaniem będzie to, że waga koguta jest o 1 większa od wagi kury.
Zadanie 1
84Zadanie 2
84Zadanie 4
84Zadanie 5
84Zadanie 8
85Zadanie 9
85Zadanie 10
85Zadanie 11
85Zadanie 12
85Zadanie 13
86Zadanie 14
86Zadanie 17
86Zadanie 1
87Zadanie 2
87Zadanie 3
87Zadanie 4
87Zadanie 5
87Zadanie 6
87Zadanie 7
88Zadanie 9
88Zadanie 14
89Zadanie 15
89Zadanie 16
89Zadanie 18
89Zadanie 19
89Zadanie 21
89Zadanie 1
90Zadanie 2
90Zadanie 3
90Zadanie 4
90Zadanie 5
90Zadanie 6
90Zadanie 7
90Zadanie 8
91Zadanie 9
91Zadanie 10
91Zadanie 11
91Zadanie 12
91Zadanie 13
91Zadanie 14
92Zadanie 16
92Zadanie 18
92Zadanie 21
92Zadanie 12
94Zadanie 5
97Zadanie 1
101Zadanie 6
101Zadanie 7
101Zadanie 10
102Zadanie 11
102Zadanie 12
102Zadanie 13
102