W tym zadaniu musisz skorzystać z zależności między średnim i krótkim bokiem trójkąta, zależności między krótkim bokiem a obwodem oraz zależności między długim bokiem a obwodem, aby wyliczyć długości boków trójkąta.
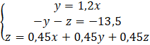
x – długość krótkiego boku w centymetrach
y – długość średniego boku w centymetrach
z – długość długiego boku w centymetrach
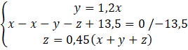
-12x – 10z – 18x + 10z = -135 + 0
-30x = -135 /:(-30)
y = 1,2x = 1,2 ∙ 4,5 = 5,4
-5,4 – z = -13,5 /+5,4
-z = -8,1 /∙(-1)
z = 8,1
Odp. Długości boków tego trójkąta wynoszą 4,5 cm, 5,4 cm i 8,1 cm
Na początku musisz oznaczyć symbolami długości boków trójkąta. Następnie musisz zapisać pierwsze równanie, w którym długość średniego boku stanowi 120% długości krótkiego boku. Drugim równaniem będzie to, że długość krótkiego boku powiększona o 13,5 stanowi obwód tego trójkąta. Ostatnim równaniem będzie to, że długość długiego boku stanowi 45% całego obwodu.
Zadanie 1
84Zadanie 2
84Zadanie 4
84Zadanie 5
84Zadanie 8
85Zadanie 9
85Zadanie 10
85Zadanie 11
85Zadanie 12
85Zadanie 13
86Zadanie 14
86Zadanie 17
86Zadanie 1
87Zadanie 2
87Zadanie 3
87Zadanie 4
87Zadanie 5
87Zadanie 6
87Zadanie 7
88Zadanie 9
88Zadanie 14
89Zadanie 15
89Zadanie 16
89Zadanie 18
89Zadanie 19
89Zadanie 21
89Zadanie 1
90Zadanie 2
90Zadanie 3
90Zadanie 4
90Zadanie 5
90Zadanie 6
90Zadanie 7
90Zadanie 8
91Zadanie 9
91Zadanie 10
91Zadanie 11
91Zadanie 12
91Zadanie 13
91Zadanie 14
92Zadanie 16
92Zadanie 18
92Zadanie 21
92Zadanie 12
94Zadanie 5
97Zadanie 1
101Zadanie 6
101Zadanie 7
101Zadanie 10
102Zadanie 11
102Zadanie 12
102Zadanie 13
102