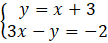
W tym zadaniu musisz sprawdzić czy układy równań
3x – (x + 3) = -2
3x – x – 3 = -2 /+3
2x = 1 /:2
-0,5y = -1,5 ∙ 0,5 – 1
-0,5y = -0,75 – 1
-0,5y = -1,75 /∙(-2)
y = 3,5
Odp. Układy równań są równoważne.
W tym zadaniu musisz rozwiązać oba układy równań. Rozwiązywanie układu powinieneś rozpocząć od przekształcenia którekolwiek z równań tak, aby po lewej stronie została sama niewiadoma. Następnie musisz podstawić pod tę niewiadomą w drugim równaniu wyznaczone wyrażenie na jej wartość. Z powstałego równania musisz wyznaczyć wartość pozostałej niewiadomej. Na końcu musisz podstawić obliczoną wartość pozostałej niewiadomej do wyznaczonego równania na pierwszą niewiadomą. Po rozwiązaniu obu układów musisz sprawdzić, czy para liczb będąca rozwiązaniem jest taka sama w obu układach.
Zadanie 1
84Zadanie 2
84Zadanie 4
84Zadanie 5
84Zadanie 8
85Zadanie 9
85Zadanie 10
85Zadanie 11
85Zadanie 12
85Zadanie 13
86Zadanie 14
86Zadanie 17
86Zadanie 1
87Zadanie 2
87Zadanie 3
87Zadanie 4
87Zadanie 5
87Zadanie 6
87Zadanie 7
88Zadanie 9
88Zadanie 14
89Zadanie 15
89Zadanie 16
89Zadanie 18
89Zadanie 19
89Zadanie 21
89Zadanie 1
90Zadanie 2
90Zadanie 3
90Zadanie 4
90Zadanie 5
90Zadanie 6
90Zadanie 7
90Zadanie 8
91Zadanie 9
91Zadanie 10
91Zadanie 11
91Zadanie 12
91Zadanie 13
91Zadanie 14
92Zadanie 16
92Zadanie 18
92Zadanie 21
92Zadanie 12
94Zadanie 5
97Zadanie 1
101Zadanie 6
101Zadanie 7
101Zadanie 10
102Zadanie 11
102Zadanie 12
102Zadanie 13
102