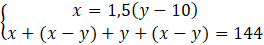
W tym zadaniu musisz skorzystać z zależności między wiekiem dziadka a babci oraz sumy ich lat w przyszłości, aby wyliczyć wiek dziadka i babci.
x – wiek dziadka
y – wiek babci
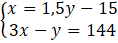
3(1,5y – 15) - y = 144
4,5y – 45 – y = 144 /+45
3,5y = 189 /:3,5
y = 54
x = 1,5y – 15 = 1,5 ∙ 54 – 15 = 81 – 15 = 66
Odp. Dziadek ma obecnie 66 lat, a babcia 54 lata.
Na początku musisz oznaczyć symbolami wiek dziadka i babci. Następnie musisz zapisać pierwsze równanie, w którym wiek dziadka stanowi wiek babci 10 lat temu przemnożony przez 1,5. Drugim równaniem będzie to, że suma wieku każdego z nich powiększonego o różnicę ich wieków jest równa 144.
Zadanie 1
84Zadanie 2
84Zadanie 4
84Zadanie 5
84Zadanie 8
85Zadanie 9
85Zadanie 10
85Zadanie 11
85Zadanie 12
85Zadanie 13
86Zadanie 14
86Zadanie 17
86Zadanie 1
87Zadanie 2
87Zadanie 3
87Zadanie 4
87Zadanie 5
87Zadanie 6
87Zadanie 7
88Zadanie 9
88Zadanie 14
89Zadanie 15
89Zadanie 16
89Zadanie 18
89Zadanie 19
89Zadanie 21
89Zadanie 1
90Zadanie 2
90Zadanie 3
90Zadanie 4
90Zadanie 5
90Zadanie 6
90Zadanie 7
90Zadanie 8
91Zadanie 9
91Zadanie 10
91Zadanie 11
91Zadanie 12
91Zadanie 13
91Zadanie 14
92Zadanie 16
92Zadanie 18
92Zadanie 21
92Zadanie 12
94Zadanie 5
97Zadanie 1
101Zadanie 6
101Zadanie 7
101Zadanie 10
102Zadanie 11
102Zadanie 12
102Zadanie 13
102