W tym zadaniu musisz skorzystać z objętości wody w basenie oraz z sumy objętości wody, która wypłynęła z obu zaworów, aby wyliczyć tempo wypływania wody z każdego zaworu. Na końcu musisz zsumować czas, kiedy zawór pracował sam i kiedy pracował razem z drugim dla każdego z zaworów.
x – tempo wypływania wody z małego zaworu w m3/h
y – tempo wypływania wody z dużego zaworu w m3/h
t – czas, kiedy otwarty był tylko mały zawór w godzinach
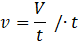
V = v ∙ t, gdzie V – objętość, v – tempo wypływania wody, t – czas
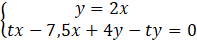
tx – 7,5x + 4 ∙ 2x – t ∙ 2x = 0
tx – 7,5x + 8x – 2tx = 0
-tx + 0,5x = 0
(-t + 0,5)x = 0
-t + 0,5 = 0 lub x = 0 – tempo nie może być równe 0
-t + 0,5 = 0 /-0,5
-t = -0,5 /∙(-1)
t = 0,5
0,5 + 2,5 = 3
2,5 + (4 – 0,5 – 2,5) = 2,5 + 1 = 3,5
Odp. Duży zawór był otwarty przez 3,5 godziny, a mały przez 3 godziny.
Na początku musisz oznaczyć symbolami tempa wypływania wody z obu zaworów oraz czas, kiedy pracował jedynie mały lub duży zawór. Następnie musisz zapisać pierwsze równanie, w którym iloczyn czasu, który musi przepracować mały zawór, aby napełnić basen, z tempem wypływania wody z tego zaworu jest równy iloczynowi czasu, który musi przepracować duży zawór, aby napełnić basen, z tempem wypływania wody z tego zaworu (musisz wzorować się na wzorze na prędkość
Zadanie 1
84Zadanie 2
84Zadanie 4
84Zadanie 5
84Zadanie 8
85Zadanie 9
85Zadanie 10
85Zadanie 11
85Zadanie 12
85Zadanie 13
86Zadanie 14
86Zadanie 17
86Zadanie 1
87Zadanie 2
87Zadanie 3
87Zadanie 4
87Zadanie 5
87Zadanie 6
87Zadanie 7
88Zadanie 9
88Zadanie 14
89Zadanie 15
89Zadanie 16
89Zadanie 18
89Zadanie 19
89Zadanie 21
89Zadanie 1
90Zadanie 2
90Zadanie 3
90Zadanie 4
90Zadanie 5
90Zadanie 6
90Zadanie 7
90Zadanie 8
91Zadanie 9
91Zadanie 10
91Zadanie 11
91Zadanie 12
91Zadanie 13
91Zadanie 14
92Zadanie 16
92Zadanie 18
92Zadanie 21
92Zadanie 12
94Zadanie 5
97Zadanie 1
101Zadanie 6
101Zadanie 7
101Zadanie 10
102Zadanie 11
102Zadanie 12
102Zadanie 13
102