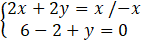
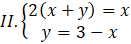
W tym zadaniu musisz rozwiązać trzy układy równania, stworzone z trzech równań I. 2(x + y) = x II. 6 + x + y = 2x III. y = 3 – x. Następnie musisz wskazać ten układ, którego suma rozwiązań jest najmniejsza.
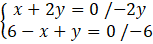
-(-2y) + y = -6
2y + y = -6
3y = -6 /:3
y = -2
x = -2y = -2 ∙ (-2) = 4
x + y = 4 – 2 = 2
2(x + 3 – x) = x
2 ∙ 3 = x
x = 6
y = 3 – x = 3 – 6 = -3
x + y = 6 – 3 = 3
6 + x + 3 – x = 2x
9 = 2x /:2
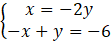
Odp. Aby suma x + y była jak najmniejsza trzeba wybrać równania I. 2(x + y) = x i II. 6 + x + y = 2x.
W tym zadaniu musisz stworzyć 3 układy równań, rozwiązać je i zsumować ich rozwiązania. Aby rozwiązać układ musisz przekształcić którekolwiek z równań tak, aby po lewej stronie została sama niewiadoma. Następnie musisz podstawić pod tę niewiadomą w drugim równaniu wyznaczone wyrażenie na jej wartość. Z powstałego równania musisz wyznaczyć wartość pozostałej niewiadomej. W kolejnym kroku musisz podstawić obliczoną wartość pozostałej niewiadomej do wyznaczonego równania na pierwszą niewiadomą. Na końcu musisz dodać do siebie rozwiązania i wybrać ten układ, gdzie wynik dodawania jest najmniejszy.
Zadanie 1
84Zadanie 2
84Zadanie 4
84Zadanie 5
84Zadanie 8
85Zadanie 9
85Zadanie 10
85Zadanie 11
85Zadanie 12
85Zadanie 13
86Zadanie 14
86Zadanie 17
86Zadanie 1
87Zadanie 2
87Zadanie 3
87Zadanie 4
87Zadanie 5
87Zadanie 6
87Zadanie 7
88Zadanie 9
88Zadanie 14
89Zadanie 15
89Zadanie 16
89Zadanie 18
89Zadanie 19
89Zadanie 21
89Zadanie 1
90Zadanie 2
90Zadanie 3
90Zadanie 4
90Zadanie 5
90Zadanie 6
90Zadanie 7
90Zadanie 8
91Zadanie 9
91Zadanie 10
91Zadanie 11
91Zadanie 12
91Zadanie 13
91Zadanie 14
92Zadanie 16
92Zadanie 18
92Zadanie 21
92Zadanie 12
94Zadanie 5
97Zadanie 1
101Zadanie 6
101Zadanie 7
101Zadanie 10
102Zadanie 11
102Zadanie 12
102Zadanie 13
102