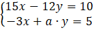
W tym zadaniu musisz wskazać wszystkie wartości parametru a, dla których układ
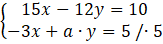
15x – 12y – 15x + 5a ∙ y = 10 + 25
5a ∙ y – 12y = 35
(5a – 12) ∙ y = 35
5a – 12 ≠ 0 /-12
5a ≠ 12 /:5
Odp. Układ jest oznaczony dlaa ≠ 2,4.
Na początku zadania musisz przemnożyć drugie równanie przez 5, aby liczby stojące przy niewiadomej x w obu równaniach były sobie przeciwne. Następnie musisz dodać oba równania do siebie stronami. Niewiadome x zredukują się ze sobą. Aby układ był oznaczony, niewiadoma y nie może zniknąć z równania. Musisz wyłączyć wspólny czynnik przed nawias. Współczynnik przy y musi być różny od 0.
Zadanie 1
84Zadanie 2
84Zadanie 4
84Zadanie 5
84Zadanie 8
85Zadanie 9
85Zadanie 10
85Zadanie 11
85Zadanie 12
85Zadanie 13
86Zadanie 14
86Zadanie 17
86Zadanie 1
87Zadanie 2
87Zadanie 3
87Zadanie 4
87Zadanie 5
87Zadanie 6
87Zadanie 7
88Zadanie 9
88Zadanie 14
89Zadanie 15
89Zadanie 16
89Zadanie 18
89Zadanie 19
89Zadanie 21
89Zadanie 1
90Zadanie 2
90Zadanie 3
90Zadanie 4
90Zadanie 5
90Zadanie 6
90Zadanie 7
90Zadanie 8
91Zadanie 9
91Zadanie 10
91Zadanie 11
91Zadanie 12
91Zadanie 13
91Zadanie 14
92Zadanie 16
92Zadanie 18
92Zadanie 21
92Zadanie 12
94Zadanie 5
97Zadanie 1
101Zadanie 6
101Zadanie 7
101Zadanie 10
102Zadanie 11
102Zadanie 12
102Zadanie 13
102