W tym zadaniu musisz skorzystać z sumy dróg przebytych przez każdego sportowca, kiedy biegli w przeciwnych kierunkach, zależności między drogą przebytą przez każdego ze sportowców, kiedy biegli w tym samym kierunku oraz całkowitej długości bieżni, aby wyliczyć prędkość każdego sportowca.
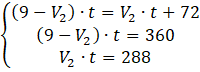
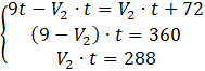
V1 – prędkość szybszego sportowca w m/s
V2 – prędkość wolniejszego sportowca w m/s
t – czas potrzebny na przebiegnięcie okrążenia przez szybszego sportowca w sekundach
s = V ∙ t
9t – 288 = 288 + 72 /+288
9t = 648 /:9
t = 72
Odp. Szybszy sportowiec biegał z prędkością 5 m/s, a wolniejszy z prędkością 4 m/s.
Na początku musisz oznaczyć symbolami prędkości obu sportowców i czas, w którym szybszy sportowiec przebiegł okrążenie. Następnie musisz zapisać pierwsze równanie, w którym suma dróg przebytych przez każdego ze sportowców, kiedy biegli w przeciwnych kierunkach, wynosi 360 (musisz wyznaczyć ze wzoru na prędkość
Zadanie 1
84Zadanie 2
84Zadanie 4
84Zadanie 5
84Zadanie 8
85Zadanie 9
85Zadanie 10
85Zadanie 11
85Zadanie 12
85Zadanie 13
86Zadanie 14
86Zadanie 17
86Zadanie 1
87Zadanie 2
87Zadanie 3
87Zadanie 4
87Zadanie 5
87Zadanie 6
87Zadanie 7
88Zadanie 9
88Zadanie 14
89Zadanie 15
89Zadanie 16
89Zadanie 18
89Zadanie 19
89Zadanie 21
89Zadanie 1
90Zadanie 2
90Zadanie 3
90Zadanie 4
90Zadanie 5
90Zadanie 6
90Zadanie 7
90Zadanie 8
91Zadanie 9
91Zadanie 10
91Zadanie 11
91Zadanie 12
91Zadanie 13
91Zadanie 14
92Zadanie 16
92Zadanie 18
92Zadanie 21
92Zadanie 12
94Zadanie 5
97Zadanie 1
101Zadanie 6
101Zadanie 7
101Zadanie 10
102Zadanie 11
102Zadanie 12
102Zadanie 13
102