W tym zadaniu musisz znaleźć parę liczb x i y, dla których oba równania są spełnione.
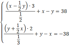
-14x + 8y + 14x + 49y = -76 – 266
57y = -342 /:57
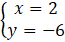
y = -6
2x + 7 ∙ (-6) = -38
2x – 42 = -38 /+42
2x = 4 /:2
x = 2
Odp.
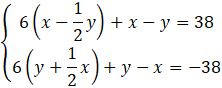
Na początku zadania musisz uprościć oba równania i doprowadzić do przeciwnych współczynników przy wybranej niewiadomej. Następnie musiszdodać oba równania do siebie stronami. Po uproszczeniu równania musisz rozwiązać równanie z jedną niewiadomą. Po wyliczeniu wartości tej niewiadomej musisz podstawić jej wartość do jednego z równań, aby obliczyć wartość pozostałej niewiadomej.
Zadanie 1
84Zadanie 2
84Zadanie 4
84Zadanie 5
84Zadanie 8
85Zadanie 9
85Zadanie 10
85Zadanie 11
85Zadanie 12
85Zadanie 13
86Zadanie 14
86Zadanie 17
86Zadanie 1
87Zadanie 2
87Zadanie 3
87Zadanie 4
87Zadanie 5
87Zadanie 6
87Zadanie 7
88Zadanie 9
88Zadanie 14
89Zadanie 15
89Zadanie 16
89Zadanie 18
89Zadanie 19
89Zadanie 21
89Zadanie 1
90Zadanie 2
90Zadanie 3
90Zadanie 4
90Zadanie 5
90Zadanie 6
90Zadanie 7
90Zadanie 8
91Zadanie 9
91Zadanie 10
91Zadanie 11
91Zadanie 12
91Zadanie 13
91Zadanie 14
92Zadanie 16
92Zadanie 18
92Zadanie 21
92Zadanie 12
94Zadanie 5
97Zadanie 1
101Zadanie 6
101Zadanie 7
101Zadanie 10
102Zadanie 11
102Zadanie 12
102Zadanie 13
102