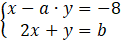
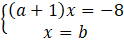
W tym zadaniu musisz znaleźć przykładowe wartości współczynników a i b, dla których rozwiązaniem układu
y = -x
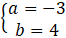
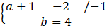
(a + 1) ∙ b = -8
Na przykład: -8 = -2 ∙ 4
Na początku tego zadania musisz skorzystać z warunku na liczbę przeciwną – liczba przeciwna do pewnej liczby x to liczba x przemnożona przez -1. Następnie musisz podstawić za y w obu równaniach liczbę przeciwną do x (-x). Z drugiego równania możesz otrzymać wartość x, która jest współczynnikiem b. Musisz podstawić tę wartość do pierwszego równania i wyłączyć z niego wspólny czynnik przed nawias. W wyniku tych działań, po lewej stronie znajduje się iloczyn dwóch liczb, a po prawej liczba -8. Musisz wymyśleć dowolną parę liczb, której wynikiem mnożenia jest -8.
Zadanie 1
84Zadanie 2
84Zadanie 4
84Zadanie 5
84Zadanie 8
85Zadanie 9
85Zadanie 10
85Zadanie 11
85Zadanie 12
85Zadanie 13
86Zadanie 14
86Zadanie 17
86Zadanie 1
87Zadanie 2
87Zadanie 3
87Zadanie 4
87Zadanie 5
87Zadanie 6
87Zadanie 7
88Zadanie 9
88Zadanie 14
89Zadanie 15
89Zadanie 16
89Zadanie 18
89Zadanie 19
89Zadanie 21
89Zadanie 1
90Zadanie 2
90Zadanie 3
90Zadanie 4
90Zadanie 5
90Zadanie 6
90Zadanie 7
90Zadanie 8
91Zadanie 9
91Zadanie 10
91Zadanie 11
91Zadanie 12
91Zadanie 13
91Zadanie 14
92Zadanie 16
92Zadanie 18
92Zadanie 21
92Zadanie 12
94Zadanie 5
97Zadanie 1
101Zadanie 6
101Zadanie 7
101Zadanie 10
102Zadanie 11
102Zadanie 12
102Zadanie 13
102