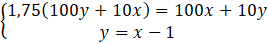
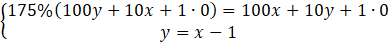
W tym zadaniu musisz zapisać dwa równanie (z dwoma niewiadomymi); w pierwszym musisz skorzystać z zależności między liczbami po zwiększaniu wartości liczby po zamianie cyfry setek i dziesiątek miejscami, a w drugim z tego, że oryginalna cyfra setek jest pomniejszona o określoną liczbę od cyfry dziesiątek.
x – cyfra dziesiątek
y – cyfra setek
Na początku musisz oznaczyć symbolami cyfrę dziesiątek i setek. Następnie musisz zapisać pierwsze równanie, gdzie 175% pierwotnej liczby trzycyfrowej stanowi liczbę trzycyfrową uzyskaną po zamianie cyfry setek i dziesiątek miejscami. Musisz tu zapisać z ogólnego zapisu liczby w systemie dziesiętnym: 100x + 10y + z, gdzie x, y, z to odpowiednio cyfry setek, dziesiątek i jedności. Drugim równaniem będzie to, że cyfra setek jest o 1 mniejsza od cyfry dziesiątek.
Zadanie 1
84Zadanie 2
84Zadanie 4
84Zadanie 5
84Zadanie 8
85Zadanie 9
85Zadanie 10
85Zadanie 11
85Zadanie 12
85Zadanie 13
86Zadanie 14
86Zadanie 17
86Zadanie 1
87Zadanie 2
87Zadanie 3
87Zadanie 4
87Zadanie 5
87Zadanie 6
87Zadanie 7
88Zadanie 9
88Zadanie 14
89Zadanie 15
89Zadanie 16
89Zadanie 18
89Zadanie 19
89Zadanie 21
89Zadanie 1
90Zadanie 2
90Zadanie 3
90Zadanie 4
90Zadanie 5
90Zadanie 6
90Zadanie 7
90Zadanie 8
91Zadanie 9
91Zadanie 10
91Zadanie 11
91Zadanie 12
91Zadanie 13
91Zadanie 14
92Zadanie 16
92Zadanie 18
92Zadanie 21
92Zadanie 12
94Zadanie 5
97Zadanie 1
101Zadanie 6
101Zadanie 7
101Zadanie 10
102Zadanie 11
102Zadanie 12
102Zadanie 13
102