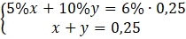
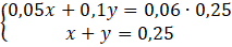
W tym zadaniu musisz skorzystać z sumy ilości soli oraz sumy mas roztworów, aby wyliczyć masę roztworu 5-procentowego i 10-procentowego.
x – masa roztworu soli o stężeniu 5% w kilogramach
y – masa roztworu soli o stężeniu 10% w kilogramach
250 g = 0,25 kg
Na początku musisz oznaczyć symbolami masy obu roztworów i zamienić masę w gramach na kilogramy. Następnie musisz zapisać pierwsze równanie, w którym suma ilości czystej soli w poszczególnych roztworach jest równa ilości soli w 0,25 kg 6%-roztworu. Drugim równaniem będzie to, że suma mas obu roztworów wynosi 0,25.
Zadanie 1
84Zadanie 2
84Zadanie 4
84Zadanie 5
84Zadanie 8
85Zadanie 9
85Zadanie 10
85Zadanie 11
85Zadanie 12
85Zadanie 13
86Zadanie 14
86Zadanie 17
86Zadanie 1
87Zadanie 2
87Zadanie 3
87Zadanie 4
87Zadanie 5
87Zadanie 6
87Zadanie 7
88Zadanie 9
88Zadanie 14
89Zadanie 15
89Zadanie 16
89Zadanie 18
89Zadanie 19
89Zadanie 21
89Zadanie 1
90Zadanie 2
90Zadanie 3
90Zadanie 4
90Zadanie 5
90Zadanie 6
90Zadanie 7
90Zadanie 8
91Zadanie 9
91Zadanie 10
91Zadanie 11
91Zadanie 12
91Zadanie 13
91Zadanie 14
92Zadanie 16
92Zadanie 18
92Zadanie 21
92Zadanie 12
94Zadanie 5
97Zadanie 1
101Zadanie 6
101Zadanie 7
101Zadanie 10
102Zadanie 11
102Zadanie 12
102Zadanie 13
102