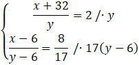
W tym zadaniu musisz skorzystać z wyników działań na ułamku, aby wyliczyć szukany ułamek.
x – licznik ułamka
y – mianownik ułamka
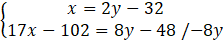
17(2y – 32) – 8y – 102 = -48 /+102
34y – 544 – 8y = 54 /+544
26y = 598 /:26
y = 23
x = 2 ∙ 23 – 32 = 46 – 32 = 14
Odp. Ten ułamek to
Na początku musisz oznaczyć symbolami licznik i mianownik ułamka. Następnie musisz zapisać pierwsze równanie, w którym po powiększeniu licznika o 32, ułamek ma wartość 2. Drugim równaniem będzie to, że po zmniejszeniu licznika i mianownika o 6 ułamek to
Zadanie 1
84Zadanie 2
84Zadanie 4
84Zadanie 5
84Zadanie 8
85Zadanie 9
85Zadanie 10
85Zadanie 11
85Zadanie 12
85Zadanie 13
86Zadanie 14
86Zadanie 17
86Zadanie 1
87Zadanie 2
87Zadanie 3
87Zadanie 4
87Zadanie 5
87Zadanie 6
87Zadanie 7
88Zadanie 9
88Zadanie 14
89Zadanie 15
89Zadanie 16
89Zadanie 18
89Zadanie 19
89Zadanie 21
89Zadanie 1
90Zadanie 2
90Zadanie 3
90Zadanie 4
90Zadanie 5
90Zadanie 6
90Zadanie 7
90Zadanie 8
91Zadanie 9
91Zadanie 10
91Zadanie 11
91Zadanie 12
91Zadanie 13
91Zadanie 14
92Zadanie 16
92Zadanie 18
92Zadanie 21
92Zadanie 12
94Zadanie 5
97Zadanie 1
101Zadanie 6
101Zadanie 7
101Zadanie 10
102Zadanie 11
102Zadanie 12
102Zadanie 13
102