W tym zadaniu musisz skorzystać z całkowitego wzrostu trawy w czerwcu oraz z liczby dni w czerwcu, aby wyliczyć liczbę dni słonecznych.
11 cm = 110 mm
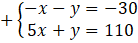
30 – liczba dni w czerwcu
x – liczba dni słonecznych w czerwcu
y – liczba dni pochmurnych w czerwcu
-x – y + 5x + y = -30 + 110
4x = 80 /:4
x = 20
20 + y = 30 /-20
y = 10
Odp. W czerwcu było 20 dni słonecznych.
Na początku musisz zamienić centymetry na milimetry i zapisać liczbę dni w czerwcu. W kolejnym kroku musisz oznaczyć symbolami liczbę dni słonecznych i deszczowych. Następnie musisz zapisać pierwsze równanie, w którym suma dni słonecznych i deszczowych wynosi 30. Drugim równaniem będzie to, że suma wzrostu trawy we wszystkich dniach słonecznych i deszczowych wynosi 110 mm.
Zadanie 1
84Zadanie 2
84Zadanie 4
84Zadanie 5
84Zadanie 8
85Zadanie 9
85Zadanie 10
85Zadanie 11
85Zadanie 12
85Zadanie 13
86Zadanie 14
86Zadanie 17
86Zadanie 1
87Zadanie 2
87Zadanie 3
87Zadanie 4
87Zadanie 5
87Zadanie 6
87Zadanie 7
88Zadanie 9
88Zadanie 14
89Zadanie 15
89Zadanie 16
89Zadanie 18
89Zadanie 19
89Zadanie 21
89Zadanie 1
90Zadanie 2
90Zadanie 3
90Zadanie 4
90Zadanie 5
90Zadanie 6
90Zadanie 7
90Zadanie 8
91Zadanie 9
91Zadanie 10
91Zadanie 11
91Zadanie 12
91Zadanie 13
91Zadanie 14
92Zadanie 16
92Zadanie 18
92Zadanie 21
92Zadanie 12
94Zadanie 5
97Zadanie 1
101Zadanie 6
101Zadanie 7
101Zadanie 10
102Zadanie 11
102Zadanie 12
102Zadanie 13
102