W tym zadaniu musisz skorzystać z zależności między wiekami dziewcząt w przeszłości i przyszłości, aby wyliczyć wiek każdej z nich.
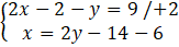
x – wiek Beaty
y – wiek Aliny
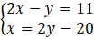
2(2y – 20) – y = 11
4y – 40 – y = 11 /+40
3y = 51 /:3
y = 17
x = 2y – 20 = 2 ∙ 17 – 20 = 34 – 20 = 14
Odp. Beata ma 14 lat, a Alina 17.
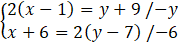
Na początku musisz oznaczyć symbolami wiek Beaty i Aliny. Następnie musisz zapisać pierwsze równanie, w którym dwukrotność wieku Beaty pomniejszonego o 1 stanowi wiek Aliny powiększony o 9. Drugim równaniem będzie to, że wiek Beaty powiększony o 6 stanowi dwukrotność wieku Aliny pomniejszonego o 7.
Zadanie 1
84Zadanie 2
84Zadanie 4
84Zadanie 5
84Zadanie 8
85Zadanie 9
85Zadanie 10
85Zadanie 11
85Zadanie 12
85Zadanie 13
86Zadanie 14
86Zadanie 17
86Zadanie 1
87Zadanie 2
87Zadanie 3
87Zadanie 4
87Zadanie 5
87Zadanie 6
87Zadanie 7
88Zadanie 9
88Zadanie 14
89Zadanie 15
89Zadanie 16
89Zadanie 18
89Zadanie 19
89Zadanie 21
89Zadanie 1
90Zadanie 2
90Zadanie 3
90Zadanie 4
90Zadanie 5
90Zadanie 6
90Zadanie 7
90Zadanie 8
91Zadanie 9
91Zadanie 10
91Zadanie 11
91Zadanie 12
91Zadanie 13
91Zadanie 14
92Zadanie 16
92Zadanie 18
92Zadanie 21
92Zadanie 12
94Zadanie 5
97Zadanie 1
101Zadanie 6
101Zadanie 7
101Zadanie 10
102Zadanie 11
102Zadanie 12
102Zadanie 13
102