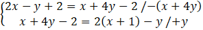
W tym zadaniu musisz zamienić równanie 2x – y + 2 = x + 4y – 2 = 2(x + 1) – y na układ równań, a następnie znajdź parę liczb x i y, dla których układ będzie spełniony.
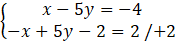
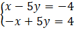
x – 5y – x + 5y = -4 + 4
0 = 0
Tożsamość – układ nieoznaczony
Odp. Układ jest nieoznaczony – ma nieskończenie wiele rozwiązań.
Na początku zadania powinieneś przenieść wszystkie niewiadome na jedną stronę, a liczby na drugą. Następie powinieneś dodać równania stronami. Po uproszczeniu obu stron równania, znikną z niego niewiadome. Jeśli lewa i prawa strona równania jest taka sama to układ jest nieoznaczony i ma nieskończenie wiele rozwiązań, a jeśli obie strony są różne to układ jest sprzeczny i nie ma rozwiązania.
Zadanie 1
84Zadanie 2
84Zadanie 4
84Zadanie 5
84Zadanie 8
85Zadanie 9
85Zadanie 10
85Zadanie 11
85Zadanie 12
85Zadanie 13
86Zadanie 14
86Zadanie 17
86Zadanie 1
87Zadanie 2
87Zadanie 3
87Zadanie 4
87Zadanie 5
87Zadanie 6
87Zadanie 7
88Zadanie 9
88Zadanie 14
89Zadanie 15
89Zadanie 16
89Zadanie 18
89Zadanie 19
89Zadanie 21
89Zadanie 1
90Zadanie 2
90Zadanie 3
90Zadanie 4
90Zadanie 5
90Zadanie 6
90Zadanie 7
90Zadanie 8
91Zadanie 9
91Zadanie 10
91Zadanie 11
91Zadanie 12
91Zadanie 13
91Zadanie 14
92Zadanie 16
92Zadanie 18
92Zadanie 21
92Zadanie 12
94Zadanie 5
97Zadanie 1
101Zadanie 6
101Zadanie 7
101Zadanie 10
102Zadanie 11
102Zadanie 12
102Zadanie 13
102