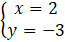
W tym zadaniu musisz wyznaczyć dwa równania spośród I. x – 2y = 5, II. 6x + y = 9, III. 53x + 2y = 1, IV. x – y = 5, które są spełnione przez parę liczb
I. x – 2y = 2 – 2 ∙ (-3) = 2 + 6 = 8 ≠ 5
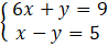
II. 6x + y = 6 ∙ 2 + (-3) = 12 – 3 = 9
III. 53x + 2y = 53 ∙ 2 + 2 ∙ (-3) = 106 – 6 = 100 ≠ 1
IV. x – y = 2 – (-3) = 2 + 3 = 5
Odp.
W tym zadaniu musisz podstawić pod x i y w czterech równaniach odpowiednio 2 i -3. Następnie musisz sprawdzić, które z tych równań są spełnione przez te liczby.
Zadanie 1
84Zadanie 2
84Zadanie 4
84Zadanie 5
84Zadanie 8
85Zadanie 9
85Zadanie 10
85Zadanie 11
85Zadanie 12
85Zadanie 13
86Zadanie 14
86Zadanie 17
86Zadanie 1
87Zadanie 2
87Zadanie 3
87Zadanie 4
87Zadanie 5
87Zadanie 6
87Zadanie 7
88Zadanie 9
88Zadanie 14
89Zadanie 15
89Zadanie 16
89Zadanie 18
89Zadanie 19
89Zadanie 21
89Zadanie 1
90Zadanie 2
90Zadanie 3
90Zadanie 4
90Zadanie 5
90Zadanie 6
90Zadanie 7
90Zadanie 8
91Zadanie 9
91Zadanie 10
91Zadanie 11
91Zadanie 12
91Zadanie 13
91Zadanie 14
92Zadanie 16
92Zadanie 18
92Zadanie 21
92Zadanie 12
94Zadanie 5
97Zadanie 1
101Zadanie 6
101Zadanie 7
101Zadanie 10
102Zadanie 11
102Zadanie 12
102Zadanie 13
102