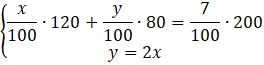
W tym zadaniu musisz skorzystać z sumy ilości soli w roztworach oraz z zależności między ich stężeniami, aby wyliczyć stężenia zmieszanych roztworów.
x% – stężenie pierwszego roztworu soli
y% – stężenie drugiego roztworu soli
200 – 120 = 80 – masa drugiego roztworu soli
1,2x + 0,8 ∙ 2x = 14
1,2x + 1,6x = 14
2,8x = 14 /:2,8
x = 5
y = 2x = 2 ∙ 5 = 10
Odp. Zmieszano 120 g 5-procentowego roztworu soli i 80 g 10-procentowego roztworu soli.
Na początku musisz oznaczyć symbolami stężenia obu roztworów. Musisz również obliczyć masę drugiego roztworu. Następnie musisz zapisać pierwsze równanie, w którym suma ilości soli w poszczególnych roztworach jest równa jej ilości w 200 g 7-procentowego roztworu. Drugim równaniem będzie to, że stężenia drugiego roztworu stanowi dwukrotność stężenia pierwszego.
Zadanie 1
84Zadanie 2
84Zadanie 4
84Zadanie 5
84Zadanie 8
85Zadanie 9
85Zadanie 10
85Zadanie 11
85Zadanie 12
85Zadanie 13
86Zadanie 14
86Zadanie 17
86Zadanie 1
87Zadanie 2
87Zadanie 3
87Zadanie 4
87Zadanie 5
87Zadanie 6
87Zadanie 7
88Zadanie 9
88Zadanie 14
89Zadanie 15
89Zadanie 16
89Zadanie 18
89Zadanie 19
89Zadanie 21
89Zadanie 1
90Zadanie 2
90Zadanie 3
90Zadanie 4
90Zadanie 5
90Zadanie 6
90Zadanie 7
90Zadanie 8
91Zadanie 9
91Zadanie 10
91Zadanie 11
91Zadanie 12
91Zadanie 13
91Zadanie 14
92Zadanie 16
92Zadanie 18
92Zadanie 21
92Zadanie 12
94Zadanie 5
97Zadanie 1
101Zadanie 6
101Zadanie 7
101Zadanie 10
102Zadanie 11
102Zadanie 12
102Zadanie 13
102