W tym zadaniu musisz skorzystać z kwoty, którą zapłacono za produkty po zmianie cen oraz z kwoty, którą trzeba byłoby zapłacić za produkty, gdyby zmiany, których dokonano zostały zamienione, aby wyliczyć aktualne ceny produktów.
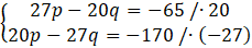
540p – 400q – 540p + 729q = -1300 + 4590
329q = 3290 /:329
q = 10
20p – 27 ∙ 10 = -170
20p – 270 = -170 /+270
20p = 100 /:20
p = 5
(100 + p)% ∙ 54 = (100 + 5)% ∙ 54 = 105% ∙ 54 = 1,05 ∙ 54 = 56,7
(100 – q)% ∙ 40 = (100 – 10)% ∙ 40 = 90% ∙ 40 = 0,9 ∙ 40 = 36
Odp. Czapka kosztuje dziś 56,70 zł, a szalik 36 zł.
Na początku musisz zapisać pierwsze równanie, w którym suma 100 + p procent wczorajszej ceny czapki i 100 – q procent wczorajszej ceny szalika wynosi 92,7. Drugim równaniem będzie to, że suma 100 – q procent wczorajszej ceny czapki i 100 + p procent wczorajszej ceny szalika wynosi 90,6. Po rozwiązaniu układu równań musisz obliczyć 100 + p procent wczorajszej ceny czapki i 100 – q procent wczorajszej ceny szalika.
Zadanie 1
84Zadanie 2
84Zadanie 4
84Zadanie 5
84Zadanie 8
85Zadanie 9
85Zadanie 10
85Zadanie 11
85Zadanie 12
85Zadanie 13
86Zadanie 14
86Zadanie 17
86Zadanie 1
87Zadanie 2
87Zadanie 3
87Zadanie 4
87Zadanie 5
87Zadanie 6
87Zadanie 7
88Zadanie 9
88Zadanie 14
89Zadanie 15
89Zadanie 16
89Zadanie 18
89Zadanie 19
89Zadanie 21
89Zadanie 1
90Zadanie 2
90Zadanie 3
90Zadanie 4
90Zadanie 5
90Zadanie 6
90Zadanie 7
90Zadanie 8
91Zadanie 9
91Zadanie 10
91Zadanie 11
91Zadanie 12
91Zadanie 13
91Zadanie 14
92Zadanie 16
92Zadanie 18
92Zadanie 21
92Zadanie 12
94Zadanie 5
97Zadanie 1
101Zadanie 6
101Zadanie 7
101Zadanie 10
102Zadanie 11
102Zadanie 12
102Zadanie 13
102